Что нужно знать о гигрометрах?
Домашние метеостанции обладают рядом преимуществ перед простыми гигрометрами.
Выбор таких моделей за счет множества функций позволит получать широкий спектр информации, которая будет полезной в повседневной жизни.

Некоторые приборы способны самостоятельно прогнозировать погоду, сигнализировать о штормовом предупреждении.
Также существуют многофункциональные переносные гигрометры, обладающие компактными размерами, способные дополнительно определять скорость и поток воздуха, даже измерять уровень шума и света.
Как уже упоминалось, каждая доп. способность повышает стоимость прибора, потому для разумной эффективности следует приобретать модель, каждая из функций которой будет реально использоваться.
Трубные уровни
Эти приборы подходят для ограниченного количества задач. Они являются подходящим вариантом при укладке газовых, водопроводных, канализационных труб, а также круглых профилей и балок.
Особенности конструкции
Эти модели являются разновидностью пузырьковых приборов. Они оборудуются несколькими ампулами с жидкостью с наличием пузыря воздуха, который и указывает отклонение от требуемого направления. Их характерная особенность заключается в V-образной форме корпуса и присутствии магнитов.
Кроме этого некоторые трубные уровни оснащаются разъемным сменным хомутом под диаметр трубы.
Преимущества и недостатки трубных уровней
К числу их плюсов относятся следующие положительные качества:
- Особая конструкция инструментов позволяет с легкостью осуществлять фиксацию на округлых поверхностях, благодаря чему удается избежать случайного соскальзывания.
- Имеющиеся у трубных уровней магниты позволяют совершать закрепление прибора на трубы или опоры, что выполнены из металла.
- Их комфортно хранить ввиду возможности складывать секции.
- Они имеют небольшой вес.
Помимо этого им присущие следующие недостатки:
- Их габариты не превышают 40 см.
- Ограниченная сфера применения.
- В сравнении с пузырьковыми уровнями они стоят на порядок дороже.
- Отображают уклон одной определенной трубы, не позволяя выяснить общий уклон.
Основные характеристики электроизмерительного прибора
На
панели электроизмерительного прибора
(ЭИП) указывают следующие обозначенияосновных
характеристик ЭИП:
а)название
прибора:
амперметры, вольтметры, омметры,
ваттметры, счетчики и др.
б)род
тока:
приборы постоянного тока, переменного
тока и приборы постоянного и переменного
тока.
в)система
измерительного механизма прибора:
магнитоэлектрическая, электромагнитная,
электродинамическая, индукционная,
тепловая и др.
г)степень
точности:
различают приборы восьми классов
точности – 0,05; 0,1; 0,2; 0,5; 1,0; 1,5; 2,5; 4,0.
Наиболее точными приборами являются
приборы класса точности 0,05 (первого
класса точности). Приборы первых
четырех классов точности
применяют дляточных
лабораторных измерений.
Разность
между показанием прибора и действительным
значением измеряемой величины называетсяабсолютной
погрешностью прибора:
|
|
(1) |
А
– показания рабочего прибора;
Ад–
действительное значение величины
(показание образцового прибора).
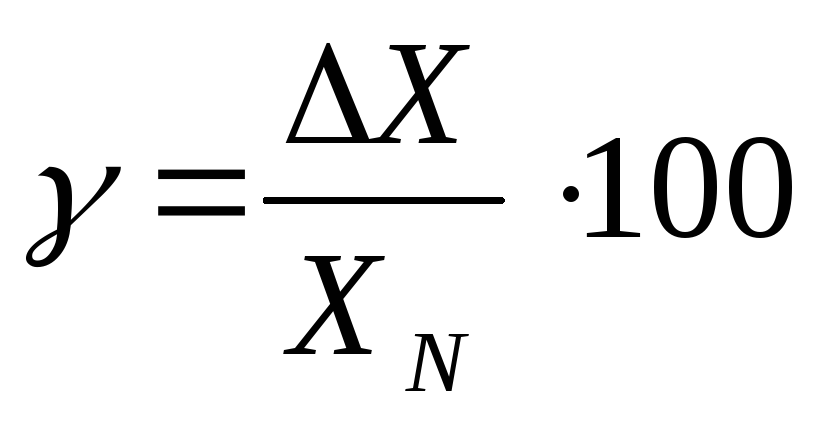
Выраженное в процентах отношение
абсолютной погрешностью прибора к
наибольшему значению, которое может
быть измерено по шкале этого прибора,
называется относительной
приведенной погрешностью прибора γ.
|
|
(2) |
Апр
– наибольшее значение величины, которое
может быть измерено данным прибором
(предел
измерения прибора).
Наибольшую
допустимую относительную приведенную
погрешность прибора называют классом
точности
этого прибора.
Класс
точности прибора наносят на шкалу ЭИП
в виде числа из двух значащих цифр,
иногда обведенных окружностью, иногда
подчеркнутых. Шкала прибора служит для
отсчета значения измеряемой величины.
Делением
шкалы называется расстояние между двумя
ближайшими друг к другу отметками на
шкале.
Ценой
деления С
называется значение электрической
величины, приходящееся на одно деление
шкалы:
|
|
(3) |
|
|
|
(4) |
гдеdА
– изменение
измеряемой величины, а dx,
d
—
соответственно линейное или угловое
перемещение указателя.
Чувствительностью
прибора
(S)
называется величина, обратная цене
деления шкалы:
|
|
(5) |
Например,
имеется прибор, который может измерить
напряжение от 0 до 250В (250В — предел
измерения). Шкала этого прибора разделена,
на 50 делений. Тогда:
С=250:50=5В/дел,
а S=50:250=0,2
дел/В.
Шкалы
бывают равномерными
и неравномерными.
На шкале с помощью условных знаков
дается подробная техническая характеристика
прибора.
На
шкале прибора указывают:
1)его
наименование или буквенное обозначение.
Например,mAилии
т.д. По наименованию единицы измеряемой
величины дается наименование прибора.
2)Класс
точности.
Класс точности указывают в виде числа
из одной или двух значащих цифр (например
– 0,5 или 2,5).
3)Род
тока
– постоянный /— / или переменный / ~ /,
постоянный и переменный – ~ .
4)Система
измерительного механизма
прибора. Она обозначается на шкале
специальным знаком, представляющим
собой схематическое изображение
основного узла, от которого зависит
принцип действия прибора (смотри таблицу
1).
Например:
-
магнитоэлектрическая
система –
, -
электромагнитная
система –
.
5)Символ
установки прибора при измерениях:
-
горизонтальное
– →, ┌┐ -
или
под углом –
6)Пробивное
напряжение изоляции.
На шкале указана величина напряжения,
при котором была испытана прочность
изоляции, обозначается она так:
7)Степень
защищённости от внешних магнитных
полей.
Степень
защищенности от внешних магнитных полей
обозначают римскими цифрами I,
II,
III,
IV.
Меньшая цифра означает лучшую защиту.
Условия
работы прибора при соответствующей
температуре и относительной влажностиобозначаются
на шкале буквами:
-
А
– нормально, работает при –10 до +35С° и
ƒ до 80%, -
Б
– Т от –20 до +50С° и ƒ до 80%, -
В
– Т от –40 до +60 С° ƒдо
98%.
9)Абсолютная
погрешность прибора
Абсолютная
погрешность, которую дает измерительный
прибор при измерениях величины U,
рассчитывается по формуле:
|
|
(6) |
10)
На шкалу прибора наносят также марку
завода-изготовителя, заводской номер,
год выпуска и тип прибора.
Обозначения
основных систем измерительных механизмов
электроизмерительных приборов приведены
в таблице 1.Таблица 1.
Какие классы точности бывают, как обозначаются
Как мы уже успели выяснить, интервал погрешности определяется классом точности. Данная величина рассчитывается, устанавливается ГОСТом и техническими условиями. В зависимости от заданной погрешность, бывает: абсолютная, приведенная, относительная, см. таблицу ниже

Согласно ГОСТ 8.401-80 в системе СИ классы точности обычно помечается латинской буквой, часто с добавлением индекса, отмеченного цифрой. Чем меньше погрешность, соответственно, меньше цифра и буквенное значение выше по алфавиту, тем более высокая точность.
Приборы, способные выполнять множество различных замеров, могут быть одновременно более двух классов.
Класс точности обозначается на корпусе устройства в виде числа обведенного в кружок, обозначает диапазон погрешностей измерений в процентах. Например, цифра ② означает относительную погрешность ±2%. Если рядом со знаком присутствует значок в виде галочки, это значит, что длина шкалы используется в качестве вспомогательного определения погрешности.

- 0,1, 0,2 – считается самым высоким классом
- 0,5, 1 – чаще применяется для устройств средней ценовой категории, например, бытовых
- 1,5, 2,5 – используется для приборов измерения с низкой точностью или индикаторов, аналоговых датчиков
Примечание. На корпусе высокоточных измерителей, класс может не наносится. Обозначение таких устройств как правило выполняется особыми знаками.
Как выбрать хорошую измерительную рулетку?
При покупке измерительной рулетки, следует обратить внимание на следующие моменты:
• Механизм стопора.
В эксплуатации удобен автостопор, который самостоятельно фиксирует полотно на нужной длине.
Более надежным и долговечным же является ручной вариант, фиксирующий ленту по нажатию на клавишу.
• Крепление зацепа.
Надежность крепления обеспечивают три заклепки.
Они снижают вероятность срыва.
Если требуется фиксация к металлическим поверхностям, нужно выбирать инструмент с магнитным зацепом.
• Если планируется использование инструмента в условиях, где он может упасть и повредится, лучше смотреть в сторону ударопрочного прорезиненного корпуса.
• Жесткость ленты – еще один важный параметр.
Чем он выше – тем дольше будет срок эксплуатации.
Проверить жесткость просто – полотно извлекается и удерживается в горизонтальном положении на весу до тех пор, пока оно не переломится.
Покупать нужно инструмент, у которого полотно до момента перелома выдвинулось дальше, чем у других моделей.
Качественное полотно выдвигается на расстояние более полутора метров.
Классификация измерительных приборов
По принципу работы:

- Показывающие – те, по которым можно только отсчитывать измеряемую величину в данный момент времени;Самопишущие (или регистрирующие) – снабжены устройством для автоматической записи данных измеряемой величины для последующего анализа;Сигнализирующие – оснащены специальной звуковой или световой сигнализацией, срабатывающей по достижению прибором заранее заданного значения;Регулирующие – имеющие возможность автоматически поддерживать значение на заданном уровне или изменять его по указанному закону;Установки – выполняющие по результату измерения определенную работу согласно выставленной программе. Применяются при дозировке и взвешивании сыпучих и жидких веществ, сортировке продукции и т.д.
По виду показаний: аналоговые (непрерывные) и цифровые (дискретные).
По виду измеряемой величины: для измерения температуры, электрических показателей, давления, влажности, плотности газов, концентрации растворов, расхода и количества, а также для определения составов (анализа) жидкостей и газов.
Понятие о мощности и методы расчёта

В бытовой сети течёт переменный ток 220 В (в промышленной – 380), но большинство электроприборов потребляет постоянный. Для этого к каждому такому устройству прилагается блок питания (он может быть встроен в корпус потребителя).
Мощность – физическая величина, измеряемая в Ваттах (Вт) или Киловаттах (кВт). Для каждого электроприбора параметр вычисляется с помощью двух формул.
Для переменного тока
Такие потребители как обычные электрические лампочки, инструмент с мотором (дрель, болгарка, станки для заточки), работают от переменного тока. Чтобы узнать потребляемую ими мощность, нужно произведение напряжения и силы тока умножить ещё и на коэффициент cos φ. Это связано с тем, что электрические компоненты (катушки или обмотки мотора) влияют на значение силы тока, изменяя его в разные моменты времени. Поэтому без приборов измерить мощность не получится.
Для постоянного тока
Расчёт производится по формуле: следует умножить силу тока (в Амперах, А) на напряжение (Вольт, В). Пример: устройство потребляет 0,1 А и рассчитано на 15 В. Тогда потребляемая мощность будет равна 0,1х15=1,5 Вт. Узнать информацию о силе тока и напряжении можно на корпусе блока питания, самом устройстве или в технической документации, которую всегда предоставляет завод-изготовитель.
Характеристики измерительных приборов
Общими
характеристиками измерительных приборов
являются: статические характеристики,
вариации показаний, чувствительность
к измеряемой величине, диапазон измерений,
собственное потребление приборами
мощности, время установления показаний
прибора и его надежность.
Для
большинства типов приборов в качестве
основной характеристики устанавливается
класс точности, который является
обобщенной характеристикой средств
измерений, определяющей пределы
допускаемых основных и дополнительных
погрешностей. Чаще всего класс точности
принимается численно равным основной
допустимой приведенной или относительной
погрешности, выраженной в процентах.
Эти значения допустимых погрешностей
наносятся на циферблаты, шкалы, щитки
и корпуса средств измерений.
Погрешности
средства измерения могут быть абсолютными




Абсолютная
погрешность
,
(1.1)
где


Абсолютная
погрешность, взятая с обратным знаком,
называется поправкой.
Относительная
погрешность

%
(1.2)
Приведенная
погрешность


%.
(1.3)
Допустимая
погрешность
– это наибольшая погрешность показания
прибора.
Основная
погрешность
– это допустимая погрешность при
нормальных условиях работы, установленных
для прибора.
Дополнительная
погрешность
– это погрешность, вызванная воздействием
внешней среды на прибор при отклонении
условий, на которые рассчитан прибор.
Для большинства
КИП допустимую погрешность выражают в
виде приведенной погрешности в процентах
диапазона шкалы.
Согласно
ГОСТ 8.401-80 обозначения классов точности
выражается цифрами: 0,05; 0,1; 0,2; 0,5; 1,0; 1,5;
2,5; 4,0. Класс точности прибора означает,
что основная приведенная погрешность
прибора в рабочем диапазоне шкалы,
выраженная в процентах, не превышает
значения, соответствующего классу
точности прибора.
Вариация
– это наибольшая разность показаний
при измерении одной и той же величины
при неизменных внешних условиях. Вариацию
выражают в процентах максимального
значения шкалы прибора
%,
(1.4)
где



Причиной
возникновения вариации может служить,
например, трение в опорах подвижной
части прибора.
Важной
характеристикой приборов является их
чувствительность,
которую
выражают в делениях шкалы и вычисляют
по формуле

где


Виды исполнения
Измерители «дитца» подразделяются на аналоговые и цифровые:
Аналоговые измерители. Как правило способны измерять только переменный ток, показания в них снимаются со встроенного амперметра. Такие приборы были широко распространены до появления цифровых измерителей.

Цифровые (самые популярные). Внутри таких приборов установлена интегральная схема, как правило они обладают расширенным функционалом или дополнительными функциями мультиметра (тестера).

Специализированные высоковольтные электроизмерительные клещи
В отдельный вид следует выделить измерители специального назначения, измерительные клещи Ц 90 (более современный вариант Ц 4502), предназначенные для измерения силы тока в мощных электроустановках до 10 000 вольт. С помощью этого инструмента можно измерить только силу переменного тока от 15 до 600А. Принцип действия измерителя аналогичен с обычными измерителями трансформаторного типа, конструкция таких клещей немного видоизменена для безопасной работы оператора. В конструкции предусмотрены изолирующая часть с изолирующими рукоятками, а также разработаны правила безопасности при проведении измерений данным способом.

«В настоящее время с развитием технологий такой способ измерения практически не применяется из-за высокого риска поражения электрическим током.»
Механика
-
Измерительные приборы для измерения длины
Длина является основной физической величиной, используемой для определения расстояния между двумя точками в пространстве, движение должно происходить по прямой линии. Обозначается длина, как L, единица измерения — метр.
Для измерения длины, используя следующие измерительные приборы:
- Система глобального позиционирования (GPS);
- Лазерный дальномер;
- Метр (инструмент);
- Микрометр;
- Концевая мера длины, используемая для точного измерения и контроля измерительных приборов.
- Одометр для измерения расстояния на дорогах и местности.
- Радар.
- Линейка.
-
Измерительные приборы для измерения объема
- Мерный стакан для измерения объема жидкости;
- Пипетка или капельницы для измерения объема жидкости;
- Пикнометр для измеренной относительной плотности;
- Измерение расхода объема газа;
- Счетчик воды для измерения расхода жидкостей.
-
Измерительные приборы для измерения скорости
- Анемометр используется для измерения скорости ветра;
- Спидометр для моторных транспортных средств;
- Спидометр воздушных судов;
- Доплеровский радар, который использует эффект Доплера;
- Тахометр измерить скорость;
- Электронный тахеометр;
- Вариометр.
-
Измерительные приборы для измерения давления
- Барометр для измерения атмосферного давления;
- Манометр представляет собой инструмент измерения, который показывает разность давления среды (газа или жидкости) и эталонное давление (обычно атмосферное).
- Трубка Пито
-
Измерительные приборы для измерения крутящего момента
- Динамометр представляет собой измерительный прибор для измерения силы или крутящего момента. Он основан на изменении длины упругой пружины под действием силы.
- Моторный тормоз используется для проверки мощности двигателя и используется в научно — исследовательских институтах, на заводах и в ремонтных мастерских.
Недостатки и преимущества аналоговых и цифровых приборов исходя из различных категорий
- Точность измерения. В этой дисциплине цифра вне конкуренции. Количество знаков после запятой — насколько позволяет длина шкалы. Количество делений на разметке стрелочного прибора ограничены нашим зрением. Не будем же мы рассматривать показания под лупой. К тому же, погрешность измерений у аналогового прибора зависит от влияния внешних магнитных полей и положения корпуса относительно горизонта.
- Настройка пределов измерения. В стрелочных приборах можно подключить схему из резисторных шунтов, и вычислить значение (прибавив нули) по единой шкале. Это неудобно. Цифровой мультиметр сразу показывает вычисленное значение. Некоторые приборы работают «по старинке» — оператор механически выбирает предел измерения. Более дорогие экземпляры определяют диапазон автоматически, необходимо лишь выставить измеряемый параметр (вольты, амперы, и так далее)
- Полярность измеряемой величины: касается силы тока и напряжения. При работе со стрелочным тестером, переполюсовка недопустима. Стрелка будет вращаться в обратную сторону, упираясь в ограничитель. При большой величине сигнала можно сломать прибор. Дисплей цифрового мультиметра просто укажет на неверную полярность значком « – » перед результатом.
- Чувствительность (способность точно измерить сверхмалые величины). Даже самый чувствительный аналоговый прибор имеет достаточно большое сопротивление для измерения малых токов. У «цифры» таких проблем нет: встроенные усилители не оказывают влияния на измеряемую цепь. При измерении напряжения, проблем нет у обоих тестеров.
- Понятие линейности шкалы присутствует лишь у стрелочных приборов. Для измерения сопротивления и переменного напряжения (тока), шкала имеет разновеликие расстояния между делениями. Это неудобно, приходится постоянно об этом помнить.
- Точка отсчета системы координат. Понятие «подстройка нуля» есть только у аналоговых тестеров. При переключении режимов измерения, диапазона величин, или просто потери емкости питающей батарейки, требуется каждый раз выставлять нуль. Разумеется, у «цифры» такой проблемы нет. При снижении напряжения питания до критической величины, прибор просто даст сигнал о замене батарейки, измерение станет невозможным.
- Воздействие внешних условий. Каждый тип мультиметра «страдает» от различных влияний, какой лучше выбрать — зависит от условий эксплуатации. Стрелочный прибор хорошо использовать в лабораторных условиях: он не терпит вибрации, ударов, магнитного поля. Зато без проблем переносит высокочастотные помехи, которые могут вывести из строя «цифру».
- Нестабильность измеряемого параметра. Показания на цифровом дисплее будут постоянно меняться, оператор просто не уследит за мерцанием. Аналоговая стрелка, благодаря механической инерции и пружине, будет показывать средний результат, который легко считать.
- Динамические измерения. С помощью цифровых мультиметров, параметр измерить невозможно. Существуют модели с эмулятором стрелочной шкалы, но эффективность такого решения довольно низкая.

А вот интеграционные возможности настоящей стрелки, позволяют визуально оценивать динамику изменения параметра. Например, наблюдать за процессом заряда конденсатора. Или отслеживать нелинейное затухание-нарастание напряжения.
Как выбрать мультиметр по категориям работ, разобрались. Для бытового применения все-же больше подходит «цифра». Если вы все-таки проводите измерения, доступные только аналоговому тестеру — придется иметь дома два прибора: тем более, что «цешку» можно купить буквально за копейки на вторичном рынке.
Кстати, производители позаботились о любых запросах покупателей: есть тестеры два в одном.

Если внутри действительно две самостоятельные схемы: традиционная аналоговая, и построенная на цифровом контроллере — это будет удачная покупка.
Модели, часто используемые в быту
Условно измерительные устройства делят на бытовые и «интеллектуальные». Первая группа – относительно простые аппараты с минимумом дополнительных функций. Вторая категория «умных» ваттметров позволяет не только определять параметры потребляемой энергии, но и передавать значения на смартфоны, отключать или снова включать потребители и даже измерять концентрацию углекислого газа в помещении.
ROBITON PM-1
Стандартный прибор, объединяющий в едином корпусе розетку для потребителя, сетевую вилку, экран для вывода информации и три клавиши управления.
Прибор определяет:
- мощность нагрузочного устройства;
- количество потребляемой энергии;
- полную стоимость киловатт*часов за расчётное время.
Основные плюсы – недорогой и достаточно точный прибор для применения в быту.
Минус – сложная процедура обнуления значений.
HiDANCE 3680W AC Power Meter
Более совершенный ваттметр позволяет использовать дополнительные полезные функции: определить коэффициент мощности для тестируемого прибора – Power Factor (он же cos φ). Также демонстрирует все остальные параметры – силу тока и мощность.
Плюсы: аккуратная сборка, достаточная функциональность, крупный дисплей.
Минус – после сброса необходимо вновь вводить цену за квт*час.
Espada TSL 1500WB
Электронный ваттметр для бытовых и коммерческих нужд. Главное отличие от аналогов – есть возможность учёта дневного и ночного тарифов. Есть подсветка экрана. Дополнительно – функция сигнализации о превышении максимально допустимых силы тока или мощности.
Плюсы: простой и понятный интерфейс, надёжность, крупный экран, небольшая погрешность измерений.
Минус – затруднена смена источника питания.
TP-Link HS110
«Умный» ваттметр от известной компании, производящей электронику и сетевое оборудование. Управление и мониторинг осуществляется удалённо. Можно использовать для подключения ПК, смартфон и другие устройства. Пользователь сможет не только произвести измерения значений мощности, силы тока и напряжения, но и отключить потребитель энергии, а если потребуется – включить вновь.
Плюсы: удобство работы, сравнительно низкая цена.
Минус – в доме должна быть стабильная интернет-связь.
Edimax SP 2101W
Ваттметр предназначен для постоянной работы с одним потребителем. Представляет собой «интеллектуальную» розетку, которая может работать по определённой программе или управляться владельцем вручную. Если возникнет аварийная ситуация, то пользователю автоматически отправится сообщение.
Плюсы: отлично подходит для систем типа «умный дом», ёмкая память сохранит результаты измерений 12 месяцев.
Минусы – высокая цена.
МЕГЕОН 71016
Ваттметр с информативным ЖК-экраном и подсвечивающими элементами. Расчёт показаний производится в режиме реального времени. Дополнительная функция – показывает концентрацию СО2 в воздухе.
Плюсы: малый размер, можно вставлять трехштырьковые евророзетки, аккуратная сборка.
Минус: высокая цена при покупке в обычном магазине.
Energenie EGM-PWM
Ваттметр со стильным чёрным корпусом объединяет в себе измерительный прибор и систему для анализа поведения потребителя. Самостоятельно выстраивает диаграммы, графики. Есть порт для подключения к ПК или другому устройству.
Плюсы: несложное управление, возможна работа с отопительным оборудованием.
Минус – высокая цена.
Величина погрешности
Строительные уровни каждого вида обладают разной точностью осуществляемых измерений:
- Пузырьковые. Их погрешность достигает 0,5-1 мм/м. Чем больше протяженность прибора, тем она меньше.
- Трубные. Их точность измерений, как и в предыдущем случае также зависит от длины.
- Гидроуровни. Погрешность данных инструментов варьируется в диапазоне 2-3 мм/м.
- Электрические. Они имеют крайне низкую погрешность, что доходит до 0,1°.
- Лазерные. Очень точные инструменты с погрешностью в 0,1-1 мм/м в зависимости от своего класса.
После выяснения как выбрать строительный уровень для дома и на что обращать внимание при покупке становится намного проще отдать предпочтение наиболее подходящему для себя измерительному прибору и приобрести тот, что не только прослужит на протяжении многих лет, но и будет иметь оптимальную цену и все нужные функции. Видео:
Видео:
Вас может заинтересовать:
Как правильно пользоваться пистолетом для монтажной пены: замена баллонов, эксплуатация и уход за ин…
Как очистить кисть от краски разнообразными средствами
Как выбрать стеклорез для дома в соответствии с потребностями
Устройство и характеристики
Конструкция простейшей измерительной рулетки предельно проста:
• Измерительное полотно – пластмассовая или металлическая узкая полоса (полотно), на лицевой части которой нанесена шкала.
• Корпус – небольшая пластмассовая или металлическая коробка, в которой и хранится полотно в свернутом по форме рулета виде (отсюда и название).
• Зацеп – металлический наконечник измерительного полотна.
Служит для фиксации нулевой отметки шкалы за угол измеряемого объекта, либо любой его выступающий элемент.
Это позволяет использовать инструмент одной рукой.
Существуют варианты, оснащенные двойным зацепом – два зуба, выступающих с лицевой и тыльной стороны полотна.

• Фиксатор – расположенный на корпусе механизм, позволяющий зафиксировать полотно на выбранном участке.
В большинстве случаев представляет собой клавишу – ползунок, прижимающую полотно к корпусу по нажатию.
Как вариант, на рулетке может быть установлен автостопор или так называемая кнопка паузы.
• Пружина – пожалуй, важнейший элемент, обеспечивающий удобство использования инструмента.
Отвечает за самостоятельное сматывание полотна в корпус.

Кроме элементов, составляющих основу конструкции рулетки, на корпусе могут быть установлены дополнительные механизмы, например, небольшой фонарик для подсветки шкалы, ремешок для удобного извлечения инструмента из кармана или ношения на запястье, клипса для фиксации на поясе.

Основные параметры, характеризующие инструмент:
- размеры и материал полотна;
- параметры измерительной шкалы;
- параметры корпуса;
- тип фиксатора;
- класс точности;
- параметры зацепа (крючка).
Материал
Корпус бытовой и строительной рулетки изготавливается из прочной пластмассы.
Этого материала вполне достаточно для обеспечения конструктивной прочности, так как сам коробок корпуса имеет небольшие размеры, при этом собран монолитным.
Обычно, корпус окрашен в черный цвет, однако, встречаются и разноцветные яркие варианты.
Вообще яркий цвет предпочтителен, так как он позволяет быстро найти рулетку среди строительных инструментов и материалов, где она была неосторожно оставлена. Еще один вариант – инструмент с прозрачным поликарбонатным корпусом, который обладает ударной вязкостью и прочностью
Еще один вариант – инструмент с прозрачным поликарбонатным корпусом, который обладает ударной вязкостью и прочностью.
За счет белого полотна он тоже сразу бросается в глаза.
Для дополнительной защиты от механических повреждений, а также для удобства удержания в руке, изготавливают обрезиненный пластмассовый корпус рулетки, который уступает компактностью вариантам без резинового покрытия.
Специальные геодезические рулетки с длиной полотна более 30 метров практически все имеют металлический корпус.
Размеры и вес
В зависимости от вида инструмента, его размеры, находятся в следующих пределах:
- Длина: 30 – 300 мм
- Ширина: 6 – 30 мм
- Высота: 30 – 300 мм
Габариты классической бытовой рулетки, которую можно встретить почти в каждом доме:
- Длина корпуса – 56 мм
- Ширина корпуса – 13 мм
- Высота корпуса – 58 мм
Вес инструмента зависит от его размеров, длины полотна и материалов, из которых изготовлены его компоненты.
Вес бытового варианта 150 – 250 г.
Интересный факт – на большинстве рулеток указана длина их корпуса.

Это позволяет использовать инструмент для измерения внутри проемов без каких-либо изгибов полотна.
Другими словами, длина извлеченного полотна суммируется с длиной корпуса.
Итоги
Для бытовых нужд можно выбрать любой функциональный ваттметр, исходя из собственных финансовых возможностей. Приобретение «интеллектуальных» приборов будет оправдано, если в доме есть значительное количество потребителей, которые нуждаются в дистанционном управлении. Или для коммерческих организаций, стремящихся оптимизировать расходы на электроэнергию.
- Какой мультиметр лучше выбрать — аналоговый, цифровой, комбинированный или графический, чем отличаются профессиональные от бытовых, обзор самых популярных моделей, их плюсы и минусы
- Как выбрать лучший электрический инвертор 12-220: виды, сферы применения, рекомендации по установке, какие параметры важны, обзор 8 популярных моделей, их плюсы и минусы
- Как выбрать лучший пирометр, плюсы и минусы оптических, радиометров, цифровых и мультиспектральных, обзор популярных бюджетных и профессиональных моделей

,
,
,
,
.









.






































